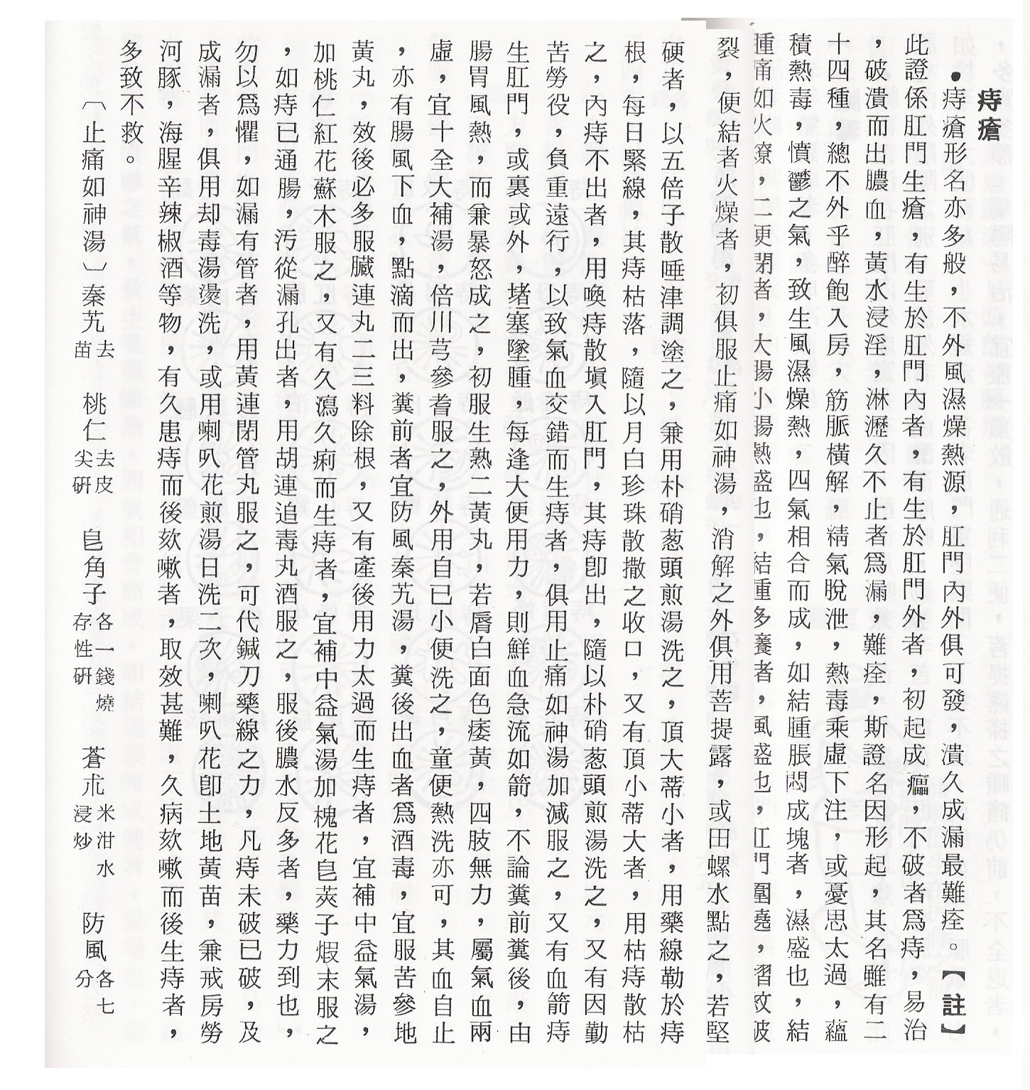
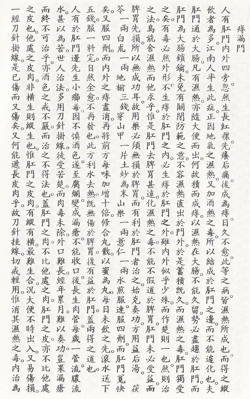
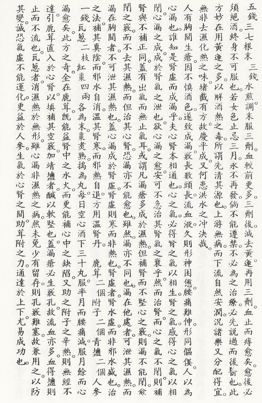
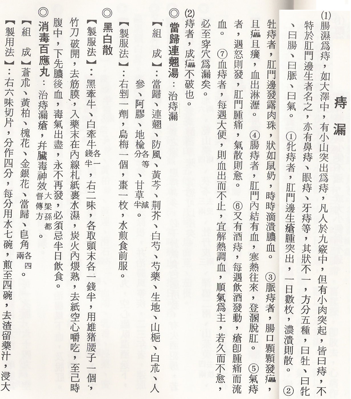
痔瘡記
請注意:看此篇文章前請不要吃東西,免得會反胃!
三十幾年來,不曾生過大病。雖有風寒之類的外邪內侵;不消幾下子,就清潔溜溜。沒想到老天爺又跟我開玩笑,長了一個大痔瘡。終於瞭解到什麼叫做坐立難安夜不安枕。消息散開,各種偏方齊報到!有用韭菜熬汁薰洗以消腫,再用白背黑木耳湯服用;也有清涼消腫的枯痔類藥膏,也有馬鈴薯蒸熟敷患處…….不一而足。
原以為小痔瘡,不妨一試。這一試可就好戲上場,薰洗湯過熱,差點燙傷。膏藥敷上,反令我痛不欲生,那馬鈴薯的感覺就好像包了一坨大便一樣…….,不試了!再試下去這條老命不報銷,也所剩無幾了。週五一大早找來救兵,針八髎穴、長強、委中、孔最、二白…….,幾乎針灸裡治痔瘡的穴位全有針,真可謂千瘡百孔;竟然無效。到下午黃昏時情況更糟,開始拔罐放血。情況稍緩後,想用消痔丸都控制不了,只好用秦艽白朮湯。
晚上上市民大學的課,是有史以來第一次提早下課,真糗!!上車回家,恨死了路上的坑坑洞洞,為什麼那麼多!不過我可以對天發誓,那天晚上絕對好像似乎是沒有眼淚汪汪的回到家。太座也產生同情心,放水要我洗澡。要進浴盆時,心理卻舉起牌子(上面寫著:唉喲!嘖!嘖!嘖!嘖!好痛),心想:這群笨蛋!怎麼不把浴盆往下埋,搞的那麼高幹麻;一點都不憐惜可憐的人。好不容易躺平了泡澡,起來時才發現還是那麼高;照樣舉牌子。唉!算了!當作沒這回事吧!
睡覺時用電毯溫臀部,情況緩解能睡;半夜卻熱出一身汗。只要舒服一點,換換衣服又何妨!就繼續再烘再睡。等我養足精神,看你能耐我何?沒想到週六一早起來,寸步難行。心中正喊著:誰來救我!外面卻有一大堆人要我救他們。想到這裡,又面對鏡中一臉病容的我,竟悲從中來掉下幾滴眼淚;只有幾滴而已哦!英雄氣短有淚不輕彈,怎可以示弱?咬著牙,拼了!在此要向他們致歉。當時實在受不了,所以只准問小問題;而且不能太多,就怕誤診!離開教室上馬桶,一天就在這兩者之間走動。
老天爺終於原諒我了!時間到了下午五點,蹲完馬桶後找師父做腳底按摩,雖舒緩了些;但還是解決不了。此時,突然間腦中一閃;右大腿關節前緣的筋有一點酸痛,莫非是腸癰(大腸癌),要不然怎麼用痔瘡療法卻不見效?當下即開立藥方:半枝蓮三錢、蛇舌草三錢、一支香三錢、羊角根三錢、茵陳三錢、銀花一兩、茯苓五錢、白朮五錢、地榆五錢、土炒山甲三錢、皂角刺五錢,立刻煎服。(若由紅色轉成紫色,將欲化膿加蒲公英一兩,已經起白點化膿,再加白芍三錢、桔梗五錢、枳實三錢)
週日起床,哈哈!我又贏了!能正常行走了。雖然還是痛,至少我可以忍受,但不能久立是真,坐更是一大難題!網路荒廢了兩天,咬著牙回覆了;不知他們滿意否?至少表示我還活著,沒有被打倒。至此,我才了解到什麼叫做痛不欲生。勸人不要吃止痛藥,自己都差點找學員涂牙醫,看有沒有麻醉針。中藥的的麻醉藥幾乎都變成禁藥了!還好沒找,要不然就真的糗大了!
照片是周日晚上拍的,他比原來的小三分之一不止。昨天有拿鏡子看了一下,一個肛門竟大到可以跟嘴比大小,且色赤如抹口紅,好壯觀哦!今天才想到要做報告,所以才拍照存證以避閑言;又說我誇大其詞。也因藥性寒涼開始水瀉,歷經生平第一次包紙尿布過夜。尤其是想到萬一有一天要子女幫你包尿布時,這感覺好難受。五味雜陳的,各位沒事不妨給你的伴包一下,你就會知道那是何滋味。

六月五日一大早就被可愛的鳥叫聲吵醒,(其實一點也不可愛,多少年來都沒被吵醒過,大概是內急吧!)踩著輕快的腳步,終於可以自願放尿;這聲音真美妙,難怪有人取名“聽雨軒”。放不出來的感覺真慘,越放不出越痛;互為因果,那滋味不知如何形容。現在沒事了,只是坐的時候還會痛,站久也不行!乾脆開一付止痛如神湯服用,暫解痛苦。前幾天度日如年;都成過去式,現已進入恢復期,看病情有多凶,只要合証哪有攻不下的道理。
斷食四天,煮飯的問我要不要吃點東西?我說稍等,她問我等什麼?我只好告訴她“等個屁”,她白了我一眼就走開了。十點左右,這個屁竟給我等到了,好舒服的三响屁,表示胃氣來復,可以進食清淡的食物。等到中午屁聲連連,時機已到,才敢用止痛如神湯。喝完葯,連K兩碗稀飯來壓它,就怕它傷害我那養了好久的胃(天哪!天下竟有如此的美味,竟連佐菜都不用)。沒想到又是水瀉、腹痛,代價是肛門的疼痛減輕了許多。吃過晚飯,終於能坐在椅子上作筆記,以前哪知道能坐著幹活是多麼大的恩典。竟有不知死活的:建議我去醫院檢查,著實挨了一頓排場,看你還敢在我面前說西醫比較好,等他們檢查報告一出來,我這老命不丟才怪,明明三五天就治好的病,檢驗報告搞不好還沒下來呢!那又何苦?
六月六日一大早竟被尿布疹給癢醒,才兩個晚上哪!這種不透氣的玩意兒,怎麼可以用?廠商們!拿出你們的良心來做試驗,不要讓這些東西繼續折磨人,患者長期使用,哪有不長褥瘡的,我這健康人也受不了兩夜的折磨,拜託一下幫幫這群可憐人;受西醫治療,弄得活不好、死不了的一群,竟然還忍心當幫兇!整這些人,也未免太過份吧!
雖然早上能輕鬆的做事情,但總是有重墜感,腫處縮小內有硬核,晚上又要上課,再說泄劑也不可再服,全身熱呼呼的,卻沒有發燒,儀器有個屁用!這也就是我不予相信西醫檢查報告的原因(是人用機器,不是機器指導人),改用飯前仙方活命飲,飯後黃蓮解毒湯,慢慢的熱氣漸消,呼出來的氣也沒那麼燒了,腫也好了一點,但右腿的太陽經卻越來越有酸痛的感覺,應該是藥物的清熱反應,要不然小便怎麼會那麼燙?
中午時,過去海釣隊的張隊長,送來了好幾條剛釣的紅魽與大目鰱,令我垂涎三尺,又不敢惹(熱病癒者食肉則復)口中連聲道謝心裡卻……。什麼時候不送來,偏偏這節骨眼給我拿來!樂在眉梢,幹在心裡,曾幾何時,我怎麼變成了雙面人?
下午王學員來訪,正巧晚上要在台北上課,就搭個順風車,順便帶幾條鮮魚到中和,車過土城,咦?我肛門邊的硬核怎麼不見了?欣喜不已(不敢用欣喜若狂,怕人家笑我神經病)這下子上課保證沒事,剛剛到劉家,就聽到學員詢問他,今晚黃老師不知道能不能上課,這傢伙竟然說,已經好幾天了,自己都搞不定自己,這種老師你敢跟嗎?對方竟然回答:說的也是!這群狠傢伙,算我白疼了!
進了劉家一陣寒暄,就開始切生魚片、煮魚湯,畢竟為了眾生苦,已經半年多沒有吃到如此新鮮的美味(因為沒空出海釣魚)誰不心急?端上桌來,藝高人膽大,那管他“食肉則復”吃的半飽,說實在的,還是怕它才會吃半飽,只是禁不住誘惑而已。晚上上課,學員一臉關心樣,我卻洋洋得意;又兼得意洋洋,把發病前後的概略述說一次;結果笑翻一群人,但又不得不檢討缺失。辨證不明會害死人,這次是害到自己;還好,反應夠快!能及時校正,沒有鑄成大錯。
第一:痔瘡非寒濕就是濕溫,舌苔必滑而腐。腸癰則為火毒,無腐苔,但薄舌苔上必有黃或黑色,為什麼就沒有看?
第二:溼熱痔瘡必有便秘,但是我沒有。
第三:腸癰右腿會有屈伸不利的症狀,自己卻沒有察覺到。
第四:痔瘡雖然坐立難安,其痛微,腸癰卻痛如刀割。我何其糊塗,要到痛如刀割才發覺不是痔瘡。
就此而論,痔瘡屬濕病兼寒或熱;而腸癰純係火病。而這幾天翻修房子,飲食幾乎都是外食,要不然就是肉粽;這是飲食火。老窩漏水,換房間卻認床,展轉難眠連續好幾天,又是起居火。更糟糕的是;學員送來的水果—荔枝。我竟然看著電視,空腹吃了兩斤以上。夫人買的榴連也被我偷偷的摸去吃了,可以說是咎由自取,不能怪人!痔瘡用電毯溫灸,行氣利濕是正確的,但是腸癰是火毒;用溫法,才會火上加火,謂之火劫。難怪!週六會痛的呼天搶地(心裡叫而已,那敢叫出聲音來)。
六月七日一大早起來就發覺不對,要劉先生替我準備小游泳圈。屁股大人又不讓我坐了,這就是食肉則復的最好驗證。落得幾番譏笑,怪我貪嘴又怨得了誰?馬上又抓止痛如神湯服用,到了下午就不痛了;又是一尾活龍,看你奈我何?晚餐時就耐著性子,看著人家吃美食,那眼淚往肚子裡吞的滋味實在難耐。此時,眼前浮現出一個糟老頭;因屁股痛坐立難安的,在電車上要回家的精采畫面。頓時警覺,這畫面不能給人欣賞!自私的收起來。只好把心一橫,來個眼不見為淨,離開餐桌整理行囊;瀟灑的步上課堂的路途。看看天,愁雲密佈又下著幾滴雨;好像是為我灑下一把同情淚。
週三的學員一樣不放過我,好吧!好戲再搬上場,卻更惹得哄堂大笑。笑這個不知死活的笨老頭,還敢貪嘴惹禍?終於下課了!上了電車搶到座位,小兔兒就罰站;看你還敢問我能不能坐嗎?難不成我還讓座位給你?才不呢!
下了車,天還在哭;我又沒傘,叫了一部“他庫稀”(整個車站也只有那兩部,所以叫稀),終於又回到可愛的家,又不負眾望的上完了兩夜課,心裡好生得意,洗個澡睡吧!希望明天就跟腸癰說再見!哦!!不對,再也不要見了;天下哪有那麼折磨人的鬼玩意兒。
六月八日,一大早起來,外面的風還在鬼吼。上樑不正下樑歪,你不找正主算帳,卻連百姓也要遭殃。想想好像不對,牠不是這群人選出來的嗎?我何其無辜也要受牽連;忍受這變天的風雨之災。還好,肛門不痛了,腫雖然沒有全消,但已能忽略了。明天起又該好好補我那受傷的腎水;又是一尾活潑健康的活蟒(不敢稱龍了,牠正焦頭爛額呢)。日子還要過下去,但心情已舒爽許多了,但到午餐時心中不禁大罵,煮飯的竟然在餐桌上放著魚,邊上又有一鍋雞湯,那香氣讓我實在受不了。裝了一碗,未到嘴邊又倒了回去!有時想想,她到底是老伴還是死對頭?或許正如人家說的:不是冤家不聚頭吧!算了,反正是不能得罪!要是發火罵了,洗衣做飯洗浴廁就得自己來了!還是當作沒看到就好了,豈不天下太平。哈!哈!
看看天;風吹斷竹掃屋頂,雨卷春心勝絲篁。多麼美妙,還交雜著鳥鳴伴奏,這世界多美啊!
你們要我寫醫案可以!但千萬別像那幾個夭壽的想要我多生幾場病,才會有更多的醫案可看,那我可會詛咒人的!
下面為收集到的ㄧ些治療痔瘡的方法請自己參考

















宮廷祕用方:魚腥草半斤、生艾四兩,水煎服。
大便或前或後出血‧人謂糞前屬大腸火‧糞後屬小腸火‧其實皆大腸火‧腸本無血‧因大腸火燥乾腸液‧腸薄開裂‧血從外滲入‧腸裂在上血來遲‧ 腸裂在下血來速‧非小腸出血也‧腸出血人立死‧蓋小腸無血‧出血則心傷‧安能活呼?
故大便出血‧統小腸以辨証則可‧以糞後屬小腸火不可‧宜單治大腸‧然腎主二便‧腎水無濟於大腸‧故火旺致便血‧用三地湯‧生熟二地‧當歸ㄧ兩‧地榆三錢‧木耳末五錢‧水煎調服‧一二劑痊癒‧此精血雙補‧腸中自潤‧既無乾燥自無滲瀉‧況地榆涼木耳塞有不速效哉!
腸癰的部分請參考醫林浩劫。
學生一
黃老師您好:請問您在痔瘡記中使用的處方:半枝蓮三錢、蛇舌草三錢、一支香三錢、羊角根三錢、茵陳三錢、銀花一兩、茯苓五錢、白朮五錢、地榆五錢、土炒山甲三錢、皂角刺五錢,立刻煎服。(若由紅色轉成紫色,將欲化膿加蒲公英一兩,已經起白點化膿,再加白芍三錢、桔梗五錢、枳實三錢) 的適用範圍及使用時機為何?臨床上如何診斷?
謝謝您!
黃老師
搞不清是何證時先用再說,腫退再用益後湯收尾。
學生一
再請教您,上述處方除了本案腸癰引起類似痔瘡腫痛之外,其餘身體內外癰腫若正逢實症熱症劇烈、且診斷不確定時時,是否也可加減後使用?(例如沒有出血疑慮時去地榆等…)此外,是否可以請您對於台灣草藥的學習使用方法心得及參考用書加以指點。
謝謝您!
黃老師
看本領加減,草藥只學些皮毛,鄭先生早逝沒學到幾樣,後悔也來不及了。
學生二
黃老師您好:
看完您的文章,請教
- 在痔瘡記中,”右大腿關節前緣的筋有一點酸痛,莫非是腸癰(大腸癌)”,請問其位置在那呢? 是否在是犢鼻、足三里或陽陵泉附近呢?
- 文章後又提到 “腸癰右腿會有屈伸不利的症狀”,是否與盲腸炎症狀相同呢?
- 是否腸癰都會出現痔瘡呢? 若無出現,那是否只能用文章後的舌苔與右腿會有屈伸不利來判斷?
- 文章中使用針灸不成功,是因誤判為痔瘡。若一開始正確判斷為腸癰,是否針灸也可處理呢? 可否以像是二間(瀉其子)處理呢?
謝謝老師。(老師文筆實在風趣 XD)
黃老師
1.陰部旁的大腿筋,2.有一點類似,但辨證不同,3.腸癰有內外之分,參考醫林浩劫,4.難
學生三
痣瘡記觀後感–
其實老師若非如此拼命為眾生奉獻以及中醫的傳承,若有足夠休息,怎可能惹火邪上身呢?還望老師自己保重.
老師提到腸癰右足不伸,在醫林浩劫162頁亦有此述,是從腸癰皆為火以及左血右氣來看嗎?可否請老師釋疑?
黃老師
是的。
學生四
老師:
您在《痔瘡記》中提及「大便出血………用三地湯‧生熟二地‧當歸ㄧ兩‧地榆三錢‧木耳末五錢‧水煎調服……」。
您的意思是,三地湯的內容就是「生熟二地‧當歸ㄧ兩‧地榆三錢‧木耳末五錢」嗎?
若是,「生熟二地」的劑量是否亦是各一兩?
是飯前或後服用呢?
請原諒問這麼基礎的問題,學生真的很菜。
黃老師
生地熟地各1兩,飯前服,治腸出血非痔瘡。